DICHLOROACETIC ACID

DICHLOROACETIC ACID

DICHLOROACETIC ACID

CAS number: 79-43-6

Synonyms: Acetic Acid, dichloro-; 2,2-Dichloroacetic acid; Dichloroethanoic acid; Urmer’s liquid

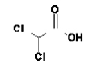
Molecular formula: C2H2Cl2O2

Structure:

To view TLV and Documentation, you must be logged in as an ACGIH member or have previously purchased the documentation.

You cannot copy content of this page